元宵過去廣州又歸於熱鬧,對於尋找新人選、新機會的勞資雙方,或是校園中準備進入社會的畢業班學生,或通過人事關係、或通過職業仲介,以求得心水人選或職位、相比目下便捷的互聯網絡職業仲介對於清代、民國時期的廣州則有職業仲介:薦人館。


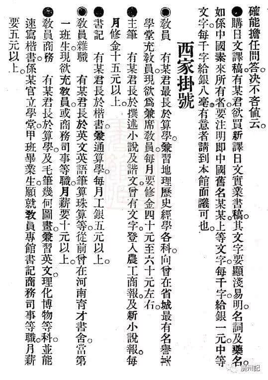
1908年,刊登於廣州《農工商報》的職業仲介廣告,本報倡導實業,創刊宗旨:因為世界艱難,志在講明生財好法,俾大家撈翻起世界。並設職業仲介專欄,名為”高等薦人館”。上圖廣告,”東家掛號”,意指資方誠聘;”西家掛號”,意指勞方求職。
對於廣州的職業仲介:薦人館可以上溯至清中:豬仔館招募華人,出洋務工。辛酸只盼錦衣回鄉,更多卻是客死異鄉。對於同一時期另一種職業仲介:薦頭館,則頗似今日家政仲介,向東家提供女傭。客居上海的外國人,參考薦頭館,創設職業仲介:薦人館,撮合勞資雙方,事成則成薪金之一成為報酬。
薦人館招聘舊照(圖自香港《蘋果日報》)

香港以薦人館為名之職業仲介,加拿大仍有類似叫法。
延至民國南天王時期工商業的發達,推動人才市場供需兩旺如下圖示,1934年出版的《廣州指南》羅列的薦人館,遍佈城中、西關多達三十一家名目之前,刊示:
廣州求荐工役者,須至荐人館,先付半月鞋金,即茶敬作押(粵稱按櫃)。然後由荐人館派人引至僱主處。凡經僱主收下荐條者,雖不僱用,押金亦不交回。如受僱人不依期上工,或無人作保等,均屬自悮,荐館概不任用。茲將其所在地列左。
相比於如上收費的薦人館,1929年,廣州婦女救濟院在各區創立婦女職業介紹所,扶助女性,伸張女權,更重要的是,對於女性求職,免費。

1934年,《廣州指南》中的薦人館目錄
時至今日,為資方尋找高學歷、高職位、高價位三位一體高端人才的職業仲介名之曰:獵頭英文名:Headhunting據聞,Headhunting來源於拉丁文。野蠻時期,部落作戰時把對方的頭顱砍下來,掛在腰間炫耀回顧廣州南越王國時期亦有獵頭的血腥場景南越王墓博物館展有越族儲酒器物– 船紋銅提筒。
筒身的羽人駕舟圖,鮮明再現越人獵頭習俗。越人獵頭,或祭神靈,或示己威,或奠屋基。此圖,被沿用於南越王墓博物館裝飾,亦被沿用於廣州原點之上。
應獵頭之邀,換工路上,偶經於此。不知你看到羽人駕舟圖船頭所掛人頭,可曾想到文明曙光到來前的蒙昧?

羽人駕舟圖(左側船頭下方,有倒懸之人頭)

羽人駕舟圖,亦被沿用於廣州原點,如上圖,清晰可見越人獵頭習俗



评论