1918年10月22日,广州成立市政公所,地址在禺山关帝庙,此为广州创办市政的萌芽。

(位于南堤的广州市政厅)

(广州首任市长孙科)

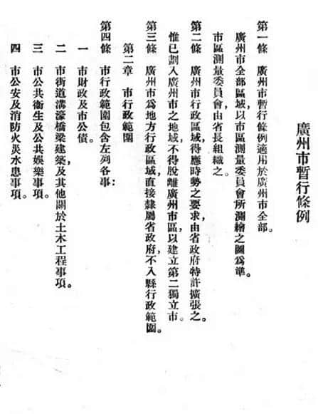
(孙科拟定的《广州市暂行条例》)
1921年2月15日,由孙科拟定的《广州市暂行条例》公布实施,广州市政厅正式成立。这不仅是广州建市之始,也是中国创始市制之始。随后,广东省长公署发布公告,委任孙科为广州市长,蔡增基为财政局长,魏邦平为公安局长,程天固为工务局长,许崇清为教育局长,黄垣为公用局长,胡宣明为卫生局长。孙科成为广州首任市长,开启了近代广州的新里程。

(广州市徽)

(市府成立纪念典礼报道)

(广州市展览会报道)
1933年2月15日,是广州市政府成立12周年的纪念日。早上九时,时任广州市长刘纪文风尘仆仆地前往越秀山市展会会场,主持市府成立十二周年纪念典礼。典礼持续一小时后,刘纪文随即主持广州市展览会的启门礼,正式宣布广州市展览会开幕。广州市展览会作为当时对外展示广州工商业发展成就的窗口,实在是当年广州全城的盛事。

(海珠桥通车典礼报道)

下午一时正,市长刘纪文又来到海珠桥主持通车开幕礼,请百岁耆老黄伟等老人带领步行过海珠桥,以这种特别的方式宣告海珠桥正式通车。当时广州市民都以海珠桥为南中国的伟大建筑为荣,纷纷前往观礼,两岸围观的民众达数十万人,盛况空前。

(广州市长刘纪文)
海珠桥通车后,刘纪文又马不停蹄地来到五仙门发电厂及河南分电厂主持新装电机的开机礼。直到下午四时,整日的典礼活动才宣告结束。
来源:花城网(ID:gz_huacheng)



评论